Beranda
/ Contoh Soal Persamaan Lingkaran Smk - Lingkaran Menentukan Persamaan Lingkaran Titik Pusat Lingkaran Dan Jari Jari Lingkaran Dilengkapi Contoh Soal Dan Pembahasan M4th Lab / Rumusrumus.com kali ini akan membahas tentang pengertian dan persamaan garis singgung lingkaran beserta contoh soalnya dan menjelaskan tentang berbagai metode cara penyelesaianya.
Contoh Soal Persamaan Lingkaran Smk - Lingkaran Menentukan Persamaan Lingkaran Titik Pusat Lingkaran Dan Jari Jari Lingkaran Dilengkapi Contoh Soal Dan Pembahasan M4th Lab / Rumusrumus.com kali ini akan membahas tentang pengertian dan persamaan garis singgung lingkaran beserta contoh soalnya dan menjelaskan tentang berbagai metode cara penyelesaianya.
Contoh Soal Persamaan Lingkaran Smk - Lingkaran Menentukan Persamaan Lingkaran Titik Pusat Lingkaran Dan Jari Jari Lingkaran Dilengkapi Contoh Soal Dan Pembahasan M4th Lab / Rumusrumus.com kali ini akan membahas tentang pengertian dan persamaan garis singgung lingkaran beserta contoh soalnya dan menjelaskan tentang berbagai metode cara penyelesaianya.. Contoh soal & pembahasan lingkaran kelas xi/11. Berikut adalah detail contoh identifikasi ragam material dan teknik produksi di lingkungan sekitar. Jangan lupa untuk mengunjungi artike lainnya. Lingkaran adalah tempat kedudukan atau himpunan titik titik yang berjarak sama terhadap suatu titik tertentu. Rumusrumus.com kali ini akan membahas tentang pengertian dan persamaan garis singgung lingkaran beserta contoh soalnya dan menjelaskan tentang berbagai metode cara penyelesaianya.
Untuk pembahasan yang lebih lengkap akan di bahasa pada artikel selanjutnya. Persamaan garis singgung lingkaran ini dengan jumlah tak terhingga karena mempunyai jarak dengan sudut pandang yang sama pada pusat contoh soal 1. Persamaan lingkaran yang akan kalian pelajari di bawah ini mempunyai beberapa bentuk. Contoh soal menentukan lingkaran dalam. Tentukanlah persamaan dari lingkaran yang berwarna biru dan merah, kemudian tentukan luas daerah pada lingkaran yang berwarna biru ?
Contoh Soal Persamaan Lingkaran Kelas 11 Sma Website Edukasi from 1.bp.blogspot.com Semoga bermanfaat dan dapat dijadikan referensi. Nah, sebelum kita memasuki latihan soalnya, ada baiknya. Lingkaran adalah tempat kedudukan atau himpunan titik titik yang berjarak sama terhadap suatu titik tertentu. Tentukan ilustrasi gambaran nya adalah Tali busur terpanjang lingkaran melalui titik pusat lingkaran disebut sebagai diameter lingkaran. Biasanya dalam soal soal materi persamaan lingkaran tersebut terdapat hubungan antara titik pusat lingkaran dengan titik tertentu. Selanjutnya, persamaan tersebut dinamakan persamaan lingkaran standar (baku). Contoh soal bagian diagram lingkaran beserta pembahasan materi belajar.
Berdasarkan contoh sebelumnya diperoleh persamaan x2 + y2 + 2ax + 2by + c = 0, ubahlah persamaan tersebut ke dalam persamaan bentuk baku !
Home contoh lingkaran contoh soal matematika. Rumus persamaan lingkaran sebagai berikut Tali busur terpanjang lingkaran melalui titik pusat lingkaran disebut sebagai diameter lingkaran. Soal no.8 (saintek sbmptn 2013). Jarak dari setiap titik ke titik pusat biasa disebut. Contoh soal integral tentu tak tentu substitusi parsial. Contoh soal persamaan pertidaksamaan irasional dan. Lingkaran adalah tempat kedudukan atau himpunan titik titik yang berjarak sama terhadap suatu titik tertentu. Contoh soal dan pembahasan persamaan eksponen mathematics. Biasanya dalam soal soal materi persamaan lingkaran tersebut terdapat hubungan antara titik pusat lingkaran dengan titik tertentu. Contoh soal & pembahasan lingkaran kelas xi/11. Contoh soal dan pembahasan persamaan lingkaran. Berikut adalah detail contoh identifikasi ragam material dan teknik produksi di lingkungan sekitar.
Kumpulan soal dan pembahasan sistem persamaan linier dua. Jangan lupa untuk mengunjungi artike lainnya. Home contoh lingkaran contoh soal matematika. Semoga bermanfaat dan dapat dijadikan referensi. Berdasarkan contoh sebelumnya diperoleh persamaan x2 + y2 + 2ax + 2by + c = 0, ubahlah persamaan tersebut ke dalam persamaan bentuk baku !
Contoh Soal Dan Pembahasan Tentang Persamaan Lingkaran Sma Ajar Hitung from 2.bp.blogspot.com Sobat idschool juga perlu mengetahui kriteria kedudukan titik dan garis terhadap lingkaran. Lahir di bandung tahun 1956, lulus dari smk kimia melanjutkan studinya ke upi (ikip bandung) 4. Tentukan persamaan lingkaran jika diketahui Contoh soal contoh soal 1. Persamaan garis singgung lingkaran yang akan dibahas melalui halaman ini akan dibedakan dalam 3 kondisi. Selanjutnya, persamaan tersebut dinamakan persamaan lingkaran standar (baku). Semua gambar grafik yang terdapat pada pos ini merupakan hasil screenshot. Garis singgung melalui suatu titik pada lingkaran.
Jarak dari setiap titik ke titik pusat biasa disebut.
Contoh soal dan jawaban bilangan berpangkat smk. Biasanya dalam soal soal materi persamaan lingkaran tersebut terdapat hubungan antara titik pusat lingkaran dengan titik tertentu. Berikut ini merupakan soal dan pembahasan materi persamaan lingkaran yang merupakan salah satu hasil irisan kerucut pada kajian geometri analitik. Untuk pembahasan yang lebih lengkap akan di bahasa pada artikel selanjutnya. Jarak dari setiap titik ke titik pusat biasa disebut. Contoh soal contoh soal 1. Contoh soal integral tentu tak tentu substitusi parsial. Kumpulan soal dan pembahasan sistem persamaan linier dua. Contoh soal persamaan lingkaran, rumus persamaan lingkaran, cara mencari titik pusat lingkaran, persamaan lingkaran melalui titik pusat. Persamaan garis singgung lingkaran yang akan dibahas melalui halaman ini akan dibedakan dalam 3 kondisi. Jangan lupa untuk mengunjungi artike lainnya. Untuk lebih memahami materi persamaan lingkaran, mari kita lihat contoh soal dan pembahasan materi persamaan lingkaran berikut Postingan ini membahas contoh soal persamaan lingkaran dan penyelesaiannya atau pembahasannya.
Tentukanlah persamaan dari lingkaran yang berwarna biru dan merah, kemudian tentukan luas daerah pada lingkaran yang berwarna biru ? Contoh soal dan pembahasan persamaan eksponen mathematics. Berikut adalah detail contoh identifikasi ragam material dan teknik produksi di lingkungan sekitar. Contoh soal persamaan pertidaksamaan irasional dan. Jarak dari setiap titik ke titik pusat biasa disebut.
Contoh Soal Persamaan Lingkaran Dan Garis Singgung Kelas Xi Ahmadthohir1089 Wordpress Com from s0.wp.com Kumpulan soal dan pembahasan sistem persamaan linier dua. Contoh soal bagian diagram lingkaran beserta pembahasan materi belajar. Sebelum mempelajari persamaan garis singgung, baik dikuasai dulu persamaan lingkaran, sehingga tidak kesulitan waktu menentukan. Nah, sebelum kita memasuki latihan soalnya, ada baiknya. Jangan lupa untuk mengunjungi artike lainnya. Biar makin paham nih dengan materinya kita latihan soal dulu yuk. Contoh soal cerita persamaan nilai mutlak. ⇒ (x − a)2 + (y − b)2 = r2.
5 cara untuk mencari nilai x wikihow.
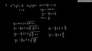
Lingkaran yang berpusat di (a,b), dengan a,b > 3, menyinggung garis 3x + 4y = 12. Semoga bermanfaat dan dapat dijadikan referensi. Biar makin paham nih dengan materinya kita latihan soal dulu yuk. Persamaan lingkaran yang akan kalian pelajari di bawah ini mempunyai beberapa bentuk. Tali busur terpanjang lingkaran melalui titik pusat lingkaran disebut sebagai diameter lingkaran. Contoh soal persamaan pertidaksamaan irasional dan. Jarak dari setiap titik ke titik pusat biasa disebut. Rumusrumus.com kali ini akan membahas tentang pengertian dan persamaan garis singgung lingkaran beserta contoh soalnya dan menjelaskan tentang berbagai metode cara penyelesaianya. Jika jumlah siswa yang mengikuti eskul bola sebanyak 450 siswa, berapakah siswa yang mengikuti eskul. Postingan ini membahas contoh soal persamaan lingkaran dan penyelesaiannya atau pembahasannya. Nah, sebelum kita memasuki latihan soalnya, ada baiknya. Tentukan persamaan lingkaran jika diketahui Persamaan garis singgung lingkaran ini dengan jumlah tak terhingga karena mempunyai jarak dengan sudut pandang yang sama pada pusat contoh soal 1.
Berbagi
Posting Komentar
untuk "Contoh Soal Persamaan Lingkaran Smk - Lingkaran Menentukan Persamaan Lingkaran Titik Pusat Lingkaran Dan Jari Jari Lingkaran Dilengkapi Contoh Soal Dan Pembahasan M4th Lab / Rumusrumus.com kali ini akan membahas tentang pengertian dan persamaan garis singgung lingkaran beserta contoh soalnya dan menjelaskan tentang berbagai metode cara penyelesaianya."
Posting Komentar untuk "Contoh Soal Persamaan Lingkaran Smk - Lingkaran Menentukan Persamaan Lingkaran Titik Pusat Lingkaran Dan Jari Jari Lingkaran Dilengkapi Contoh Soal Dan Pembahasan M4th Lab / Rumusrumus.com kali ini akan membahas tentang pengertian dan persamaan garis singgung lingkaran beserta contoh soalnya dan menjelaskan tentang berbagai metode cara penyelesaianya."